中国安全科学学报 ›› 2026, Vol. 36 ›› Issue (3): 194-202.doi: 10.16265/j.cnki.issn1003-3033.2026.03.1528

• 公共安全与应急管理 • 上一篇    下一篇

柴油罐车泄漏火灾危害特性与突变时刻研究*

王继贇1,2,3(), 王子超1,2,3, 宗若雯4, 刘晅亚1,2,3,**()   

  1. 1 应急管理部天津消防研究所, 天津 300381
    2 工业与公共建筑火灾防控技术应急管理部重点实验室, 天津 300381
    3 天津市消防安全技术重点实验室, 天津 300381
    4 中国科学技术大学火灾安全全国重点实验室, 安徽 合肥 230026
  • 收稿日期:2025-09-01 修回日期:2025-12-13 出版日期:2026-03-31
  • 通信作者:
    ** 刘晅亚(1976—),男,河南平顶山人,博士,研究员,主要从事石油化工火灾与爆炸防治技术及数值模拟技术方面的研究。E-mail:
  • 作者简介:

    王继贇 (1996—),男,山东菏泽人,工学博士,助理研究员,主要从事油罐火灾动力学演化规律及防治技术研究。E-mail:

    宗若雯,副教授。

  • 基金资助:
    应急管理部天津消防研究所青年科技人才创新基金资助(2024SJCXJJ02); 天津市科技计划项目(21JCZDJC00810)

Study on hazard characteristics and onset time of hazard escalation of leakage fires in diesel road tankers

WANG Jiyun1,2,3(), WANG Zichao1,2,3, ZONG Ruowen4, LIU Xuanya1,2,3,**()   

  1. 1 Tianjin Fire Science and Technology Research Institute of MEM, Tianjin 300381, China
    2 Key Laboratory of Fire Protection Technology for Industry and Public Building, Ministry of Emergency Management, Tianjin 300381, China
    3 Tianjin Key Laboratory of Fire Safety Technology, Tianjin 300381, China
    4 State Key Laboratory of Fire Science, University of Science and Technology of China, Hefei Anhui 230026, China
  • Received:2025-09-01 Revised:2025-12-13 Published:2026-03-31

摘要:

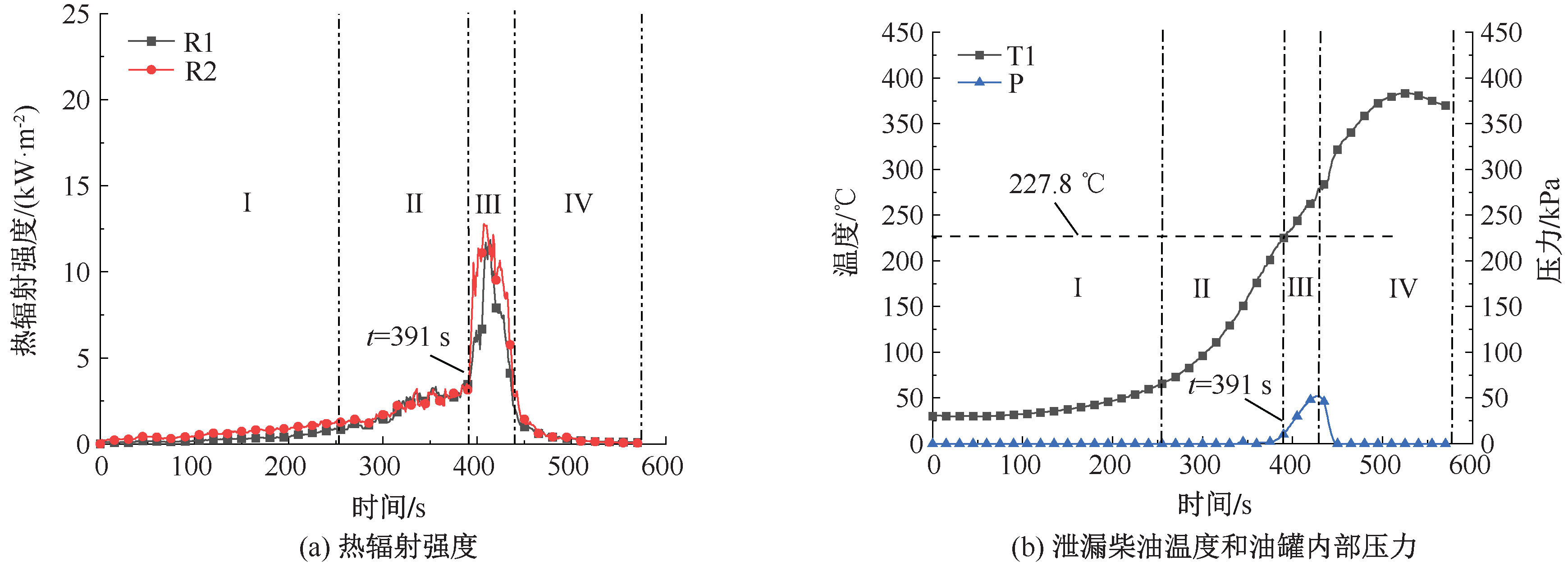
为防治柴油罐车泄漏燃烧耦合条件下的火灾危害,首先,采用容积5 L的油罐填充1.65 L的0号柴油开展小尺度试验,柴油从油罐底部泄漏并燃烧,分析柴油温度、油罐压力、热辐射强度和火焰形态演化特性;然后,对油罐受热过程开展数值模拟。结果表明:一旦泄漏柴油温度达到227.8 ℃,柴油泄漏至外部环境便会沸腾燃烧,导致火灾危害突变,即油罐压力骤增、池火热辐射强度和火焰尺寸突然变大;突变时刻随填充率增加而呈现指数式增长,填充率由33%增加至80%,不同热边界条件下的突变时刻平均扩大2.32倍;火焰偏移油罐降低油罐受热功率,导致柴油温升速率降低和突变时刻增加,且突变时刻的增长率随着火焰偏移程度的增加而增加;突变时刻的增加将提供更多的可用安全疏散时间(ASET),因此,ASET随着填充率和火焰偏移程度的增加而增加。

关键词: 柴油罐车, 泄漏火灾, 数值模拟, 火灾危害突变, 柴油温度

Abstract:

In order to prevent and control the fire hazard of a road tanker coupling with diesel leaking and burning, small-scale experiments were first conducted using a 5 L tank filled with 1.65 L of 0# diesel fuel. The diesel was released from the tank bottom and burned, and the temporal evolution of the fuel temperature, tank pressure, thermal radiation, and flame morphology was investigated. Subsequently, numerical simulations of tank thermal exposure were conducted. The results show that once the temperature of leaking diesel reaches 227.8 ℃, the diesel fuel leaking to the external environment will boil and burn. This leads to a sudden escalation of fire hazard, i.e., a sudden increase in the tank pressure, the thermal radiation and flame size. The onset time of hazard escalation increases exponentially with filling level. When the filling level rises from 33% to 80%, the onset time increases by an average factor of 2.32 across different thermal boundary conditions. Flame offset relative to the tank reduces the thermal load on the tank, thereby lowering the diesel temperature-rise rate and increasing the onset time. Moreover, the rising rate of the onset time grows with the flame offset degree. The increase in the onset time provides more available safe egress time (ASET). Thus, ASET increases as both the filling level and the flame offset degree increase.

Key words: diesel road tanker, leakage fires, numerical simulation, sudden fire hazard escalation, diesel temperature

中图分类号: